Главная
Войти
Теория планирования эксперимента
Выбор факторов

При планировании экспериментов необходимо включать в план исследования все факторы, которые, по мнению экспериментатора, могут влиять на параметр оптимизации. Факторы, которые по тем или иным причинам невозможно учесть в эксперименте, необходимо в течение всех опытов стабилизировать на постоянных уровнях. Как правило факторы имеют количественную оценку, хотя планирование экспериментов возможно когда некоторые факторы представлены качественно.

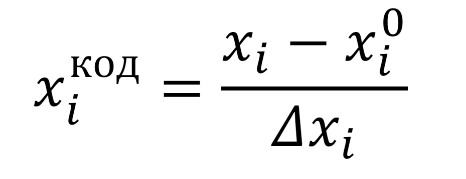
После выбора факторов xi (i – номер фактора, n – число факторов, i=1…n) для каждого из них устанавливают центр эксперимента xi0 и интервалы варьирования ±Δxi. Последние следует выбирать таким образом, чтобы их величина не превышала удвоенной среднеквадратичной ошибки в определении данного фактора. Выбранные значения образуют локальную область эксперимента. Эти значения заносятся в таблицу кодирования.

При числе уровней изменения факторов q=2 все факторы варьируются на двух уровнях: нижнем xi0-∆xi и верхнем xi0+∆xi, расположенных симметрично, относительно центра эксперимента. Для упрощения и унификации записи условий опытов и облегчения обработки данных используются кодированные значения: на нижнем уровне -1 и на верхнем уровне +1:

Выбор модели

Исходя из понимания предметной области, гипотез и предполагаемого влияния факторов на целевую переменную (параметр оптимизации), должна быть выбрана модель.

Наиболее распространенными и полно отвечающими задачам статистического моделирования являются линейные множественные регрессии со взаимодействием вида:

Составление линейного плана

Эксперимент, в котором реализуются все возможные сочетания уровней, называется полным факторным экспериментом (ПФЭ). Количество всех возможных испытаний N определяется по формуле:

N=qn При q=2 получается двухуровневый план эксперимента (план N=2n).

Количество испытаний в ПФЭ иногда значительно превосходит число определяемых коэффициентов линейной модели плана эксперимента (избыточность ПФЭ) и поэтому возникает проблема сокращения числа опытов. В связи с этим используется дробный факторный эксперимент (ДФЭ), который представляет часть (реплику) полного факторного эксперимента. Различают регулярные (деление числа экспериментов ПФЭ на число, кратное 2) и нерегулярные дробные реплики. ДФЭ обозначается какㅤ2n-k, где k — кратность деления ПФЭ 2n на части 2k.

Под числом степеней свободы 𝑓 понимают разность между числом опытов N и количеством значений M, вычисленных по результатам этих опытов независимо друг от друга:

𝑓 = N - M. Например, число степеней свободы 𝑓лм линейной модели без взаимодействий факторов определяется по выражению: 𝑓лм = N - (n + 1). Значение 𝑓 должно быть не меньше 1. Матрица планирования

Для планирования эксперимента составляется матрица планирования, в которой отражаются условия изменения уровней факторов xi: строки соответствуют различным опытам, а столбцы — значениям факторов. Число столбцов соответствует числу слагаемых модели. Существуют “фиктивные переменные” единичного столбца х0 и столбцов произведений х12, х13, х23 и х123, которые используются для оценки свободного члена а0 и эффектов взаимодействия а121323, а123.

Для компенсации влияния случайных погрешностей каждый опыт рекомендуется повторить m раз. Опыты, повторенные несколько раз при одних и тех же значениях факторов, называют параллельными.

В матрицу планирования могут быть добавлены столбцы среднего значения и дисперсии каждого эксперимента.

Обработка результатов параллельных опытов

Для каждой строки матрицы планирования по результатам m параллельных опытов находят среднее арифметическое значение параметра оптимизации (целевой переменной):

где l — номер параллельного опыта.

С целью оценки отклонений параметра оптимизации от его среднего значения для каждой строки матрицы планирования вычисляют дисперсию опыта по данным m параллельных опытов:

Число степеней свободы дисперсии опыта:
Ошибка опыта определяется как корень квадратный из дисперсии опыта (среднеквадратичная ошибка). Исключение результата опыта или эксперимента в целом

Чтобы оценить принадлежность резко выделяющихся результатов yj max/min к данной нормальной совокупности и принять решение об исключении или оставлении их в составе выборки, находят отношение

которое сравнивают с табличной величиной для числа m параллельных опытов и принятого уровня значимости α и при превышении могут быть исключены (критерий Граббса)

Уровень значимости α называют также уровнем риска или доверительным уровнем вероятности, который соответственно может быть принят равным 0,05, 0,01 или 0,001. Так, например, при уровне значимости α=0,05 вероятность P верного результата P=1-α=0,95.

Если дисперсии опыта неоднородны, то исследуемая величина y не подчиняется нормальному закону. В этом случае нужно попытаться заменить y (или исключить эксперимент).

Проверка гипотезы однородности дисперсии может осуществляться с помощью F-критерия Фишера. Для этого находится отношение большей дисперсии к меньшей:

Если полученное значение -критерия меньше табличного FT для соответствующих чисел степеней свободы и принятого уровня значимости, то дисперсии однородны.

Определение коэффициентов модели Оценки коэффициентов регрессионной модели можно вычислить по формуле
где r — столбец, соответствующий слагаемой модели. Статистическая значимость коэффициентов

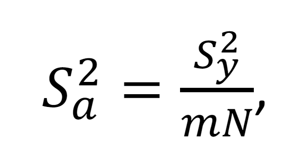
После расчета коэффициентов регрессии прежде всего следует проверить их статистическую значимость. Проверку значимости коэффициентов проводят путем сравнения абсолютной величины коэффициента с доверительным интервалом. Для определения доверительного интервала вычисляют дисперсии коэффициентов регрессии:

где S2y — дисперсия воспроизводимости экспериментов:
Доверительный интервал находят по формуле:
где tT — табличное значение критерия при принятом уровне значимости α и числе степеней свободы 𝑓S2y, с которым определялась дисперсия S2y,
Коэффициент регрессии можно считать статистически значимым, если его абсолютное значение равно или превышает величину доверительного интервала.

Альтернативным способом проверки статистической значимости коэффициента ai является расчет критерия Стьюдента по выражению

и его сравнение с табличным значением tT, определенным для принятого уровня значимости α и числа степеней свободы 𝑓S2y. Коэффициент значим, если tр≥ tT.

Статистически незначимые коэффициенты исключаются из уравнения. Проверка гипотезы об адекватности модели

После расчета коэффициентов модели и проверки их значимости определяют дисперсию адекватности (остаточная дисперсия), которая характеризует рассеяние эмпирических значений yj относительно расчетных yi, определенных по найденному уравнению регрессии. Дисперсию адекватности определяют по формуле:

𝑓S2ад — число степеней свободы дисперсии адекватности, равное разности между числом экспериментов и числом статистически значимых коэффициентов модели.

Гипотеза об адекватности позволяет ответить на вопрос о том, соответствует ли полученное линейное уравнение изучаемому явлению или необходима более сложная модель.

Гипотезу об адекватности найденной модели проверяют с помощью F-критерия Фишера:

Гипотеза об адекватности линейной модели может быть принята, если расчетное значение F-критерия Fрасч не превышает его табличного значения Fтабл, которое имеется в специальных таблицах для выбранного уровня значимости. В случаях адекватности линейного уравнения его можно использовать для следующих этапов планирования. В противном случае его нужно дополнить членами высшего порядка.